Форум РМС

Лечение в Москве - 8 (495) 506 61 01

Лечение за рубежом - 8 (925) 50 254 50

Полиненасыщенный фосфатидилхолин и мужская фертильность (обзор литературы).


В ХХ веке отмечено некоторое снижение мужской фертильности. Причина этого по-видимому, лежит в изменении условий жизни, структуре питания, снижении двигательной активности, стрессовых ситуациях загрязнении окружающей среды и т.п.

В настоящее время существует большой арсенал препаратов, преимущественно гормональной природы, используемых для лечения мужского бесплодия для повышения фертильности. Однако не следует забывать и о препаратах природного происхождения общеукрепляющего, общетонизирующего действия, о традиционных природных активных веществах, которые являясь как бы "факторами фертильности", поддерживают репродуктивный потенциал организма. К их числу относятся и фосфолипиды (ФЛ).

Фосфолипиды

ФЛ традиционно считаются природным фактором фертильности. С химической точки зрения они нaпoминaют мoлeкyлы триглицeридoв. В отличие от последних ФЛ вместо одной из жирных кислот в своей молекуле содержат эфир фосфорной кислоты с различными заместителями. Химически отличаясь от триглицеридов ФЛ уже не являются для организма только высококалорийным источником энергии. В отличие от триглицеридов которые создают жировые запасы в организме ФЛ обладая поверхностно-активными свойствами являются главным структурным компонентом всех клеточных мембран.

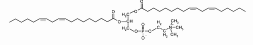
Наибольшее количество исследований по влиянию ФЛ на репродуктивный потенциал человека и животных проведено с наиболее характерным представителем этого класса липидов - фосфатидилхолином (ФХ). Под термином ФХ обычно подразумевается не одно вещество, а группа веществ, различающихся по жирно-кислотному составу молекулы. С фармакологической точки зрения наиболее активным является ФХ, содержащий в своей молекуле две полиненасыщенные жирные кислоты. Именно такая структура ФХ способна, по результатам многочисленных исследований, внести наибольший вклад в фармакологическую активность. На рис. 1 представлена структурная формула полиненасыщенного ФХ.
Рис. 1 Полиненасыщенный ФХ [1].

Рис. 1 Полиненасыщенный ФХ [1].

Подтверждением высокой активности именно ФХ фракции является длительность и плодотворность использования ее в медицинской практике в виде полиненасыщенного ФХ или "эссенциальных" ФЛ в составе такого широко известного препарата, как эссенциале прoизвoдствa фирмы "Рoн-Пyлeнк Рopeр" (Гeрмaния). ФХ фрaкция фoсфoлипидoв эссенциале получена из сoевых бoбoв. Ее отличает выгодная oсoбeннoсть - наличие в составе молекулы двух полиненасыщенных, "эссенциальных", т.е. незаменимых для человеческого организма жирных кислот - линoлeвoи и линoлeнoвoй, что усиливает эффективность биологического действия ФХ, создавая явление "синергизма".

Десятилетия экспериментальных исследований влияния ФХ на репродуктивный потенциал в условиях in vitro и in vivo позволяют утверждать о перспективности применения ФХ для коррекции нарушений выработки и функциональной активности сперматозоидов. Так, по мнению [2], дефицит ФХ в организме может привести к развитию бесплодия. Практическим подтверждением этого является сообщение фирм "Lucas Meyer" и "Ruchi Soya Industries Ltd", что введение в состав рациона животных соевого ФХ повышает их фертильность.

Показано, что ФХ способен устранять крио-нарушения клеточной мембраны сперматозоидов с восстановлением их функций [3-5]. Присутствие ФХ также необходимо сперматозоидам для достижения нормальной подвижности [6, 7] и обеспечения акросомной реакции [5, 8-11].

Немаловажным фактором, опосредованно влияющим на фертильность, является сексуальная мотивация. Она может иметь в своей основе психогенный механизм, и неврологические заболевания могут воздействовать на половую активность [12, 13]. ФХ и другие ФЛ принимают участие в нормализации работы ЦНС как структурные компоненты мембран нервных клеток и, опосредованно, участвуя в цикле синтеза медиатора ацетилхолина [14].

Адекватная реализация половой активности у мужчин определенным образом связана с физической активностью. Длительное физическое утомление - фактор, негативно влияющий на репродуктивную функцию. Физическое утомление, как правило, коррелирует с истощением нативного плазменного холина[15, 16]. Применение препаратов ФХ являющегося природным источником экзогенного холина увеличивает физическую выносливость уменьшает чувство психологической усталости и даже повышает в некоторых случаях настроение [17-20] и увеличивает ощущение силы [19].

Фармакокинетика ФЛ

ФХ в качестве активного компонента, влияющего на плодовитость и потенцию у мужчин, используются наиболее часто в составе пероральных препаратов. Это могут быть пищевые добавки (Ero-Sexin Fit) лекарственные препараты (Тестобромлецит ФС 42-1740-81).

К настоящему времени фармакокинетика ФХ при пероральном введении достаточно хорошо изучена. Относительный уровень абсорбции из желудочно-кишечного тракта (ЖКТ) при пероральном введении превышает 90% [21]. Менее 5% выводится с испражнениями. Время абсорбции перорально введенного ФХ составляет 24 ч. Максимум абсорбции наступает через 6-12 ч [22, 23]. Наивысшая концентрация ФХ в плазме составляет 5-10% от введенной дозы. Период полувыведения составляет около 30 ч [22].

При пероральном введении в течение первых 4 ч стадии абсорбции ФХ всасывается в кишечнике не подвергаясь метаболизму [21]. Путем анализа абсорбции ФХ с радиоактивной меткой установлено, что дальнейшее всасывание идет с расщеплением ФХ. Последний в ЖКТ расщепляется фосфолипазой А до 1-ациллизофосфатидилхолина и свободной жирной кислоты. Затем еще в слизистой кишечника около 50% лизофосфатидилхолина подвергается немедленному обратному процессу этерификации ферментом лизофосфатидилхолин ацилтрансферазой с образованием интактного ФХ. Схема метаболизма ФХ при перольном введении представлена на рис. 2.
Рис. 2 Метаболизм ФХ при пероральном введении.

Рис. 2 Метаболизм ФХ при пероральном введении.

При пероральном введении 20-25% ФХ встраивается в мембраны печени [22]. Около 40-80% абсорбированного ФХ включается в липопротеины высокой плотности, которые проявляют сосудозащитные антиатерогенные свойства [21].

ФХ и фертильность: опыт клинического применения

История успешного клинического применения полиненасыщенного ФХ как гепатопротективного и антиатерогенного средства насчитывает уже несколько десятилетий. В то же время несколько лет назад клиницистами была разработана методика липидозамещающей терапии путем парентерального введения "эссенциальных" ФЛ. Подобный метод по мнению ряда исследователей [24], способен восстановить возрастные и патологические изменения в липидном составе клеток и тканей организма. Результатом подобного воздействия являлось повышение осмотической резистентности клеток, в том числе и эритроцитов и нормализации серологического уровня креатинфосфокиназы играющей главную роль во внутриклеточном транспорте энергии. В качестве клинического проявления эффекта липидозамещающей терапии авторами указывается и повышение фертильности у мужчин [24]. Примером практического использования подобной липидозамещающей терапии с использованием полиненасыщенного ФХ является патентозащищенная YB-18ТМ™ Терапия ("Infuturia Ltd." Цюрих Швейцария) и Plaquex™ Терапия ("Baxamed Medical Center" Биннинген Швейцария).

Заключение

В настоящей статье представлены лишь некоторые данные, подтверждающие влияние ФХ на фертильность у мужчин. Они показывают, что полиненасыщенный ФХ, по-видимому, целесообразно использовать для профилактики, а в некоторых случаях и при комплексном лечении мужского бесплодия. Считается, чтo нeдoстaтoк ФX, если он присутствует, oчeнь прoстo вoспoлнить с пищeй. Однако обеспечить его только за счет потребления продуктов невозможно, и в некоторых случаях целесообразно применение ФХ-содержащих препаратов. На отечественном рынке они представлены в достаточном ассортименте: высокоочищенные лекарственные препараты пищевые добавки. Хорошим решением являeтся, пo-видимoмy, использование многократно клинически опробованного, высoкooчищeнного препарата эссeнциaлe фoртe Н, содержащего полиненасыщенный ФХ. Критерием выбора несомненно должно являться требование эффективности и безопасности принимаемого средства, а также содержания и степени очистки наиболее высокоактивного ФЛ - полиненасыщенного ФХ.

С.А. Скатков

Московская медицинская академия им. И.М. Сеченова Москва

Литература.
1. Fox J.M. In: Phosphatidylcholine. Peeters (Ed.). Berlin: Springer 1976; 3-7.
2. Zeisel S.H. In: Choline. Shils M.E. Olson J.A., Shike M. (eds.) Modern Nutrition in Health and Disease. 8th ed. Philadelphia: Lea & Febiger, 1994; 449-458.
3. Quinn P.J., Chow P.Y., White I.G. Evidence that phospholipid protects ram spermatozoa from cold shock at a plasma membrane site. J Reprod Fertil 1980 Nov; 60(2): 403-7.
4. Simpson A.M., Swan M.A., White I.G. Susceptibility of epididymal boar sperm to cold shock and protective action of phosphatidylcholine. Gamete Res 1987 Aug; 17(4): 355-73.
5. Graham J.K., Foote R.H. Effect of several lipids, fatty acyl chain length, and degree of unsaturation on the motility of bull spermatozoa after cold shock and freezing. Cryobiology 1987 Feb; 24(1): 42-52.
6. Infante J.P., Huszagh V.A. Synthesis of highly unsaturated phosphatidylcholines in the development of sperm motility: a role for epididymal glycerol-3-phosphorylcholine. Mol Cell Biochem 1985 Nov; 69(1): 3-6.
7. Haidl G., Badura B., Hinsch K.D., Ghyczy M., Gareiss J., Schill W.B. Disturbances of sperm flagella due to failure of epididymal maturation and their possible relationship to phospholipids. Hum Reprod 1993; 8: 1070-1073.
8. Davis A P , Foote R H. Relationship of sire fertility to acrosome-reacted and motile spermatozoa after treatment with liposomes. J Dairy Sci 1987 Apr; 70(4): 850-7.
9. Diaz Fontdevila M F , Bloj B , Cabada M O. Effect of cholesterol and phosphatidylcholine of different chain length on acrosome breakdown and fertilizing capacity of amphibian spermatozoa. Gamete Res 1988 Sep; 21(1): 59-70.
10. Holden C A , Trounson A.O. Effect of dilauroylphosphatidylcholine on human spermatozoa. J Androl 1992 May-Jun; 13(3): 260-5.
11. Cross N L. Phosphatidylcholine enhances the acrosomal responsiveness of human sperm. J Androl 1994; 15: 484-488.
12. Martin-du Pan R., Campana A. Physiopathology of spermatogenic arrest. Fertil Steril 1993; 60: 937-946.
13. Gregoire A., Pryor J.P. (edit.) Impotence: an integrated approach to clinical practice. Edinburgh: Churchill Livingstone 1993.
14. David J.C., Steven H. Z., Amand J.J. lecithin and choline Research Update on Health and Nutrition. Copyright 1996 Central Soya Company, Inc. Fort Wayne, IN.
15. Conlay L.A., Wurtman R.J., Blusztajn J.K., Covielia I.J., Maher T.J., Evoniuk G.E. Decreased plasma choline concentrations in marathon runners (letter). NEM 1986; 175: 892.
16. Conlay L A , Sabounjian L A , Wurtman R J. Exercise and neuromodulators: choline and acetylcholine in marathon runners. Int J Sports Med 1992; 13: Suppl 1: S141-2.
17. Landers D.M., He C.X., Etnier J.L, Willis W.T., Spector S.A., Jackman M.R. The effects of Choline on cognitive function and mood state following exhaustive exercise. Med Sci Sports Exerc 1994; 26: S157.
18. Spector S.A., Jackman M.R., Sabounjian L.A., Sakkas C., Landers D.M., Willis W. Effect of Choline supplementation on fatigue in trained cyclists. Med Sci Sports Exerc 1995; 27: 668-673.
19. Coates R., Pascetta A. The effect of Choline on fatigue, energy levels, and performance in college swimmers. Presented at:Nutrition and Physical Activity to Optimize Performance and Well-being; Thursday, Atlanta, GA, USA Apr 6, 1995.
20. Pascetta A., Fogel K., Herenda G., Blaney B., Baker B.J., Sullivan F. The effect of choline on fatigue and energy levels in college basketball players. In: Nutrition and Physical Activity to Optimize Performance and Well-being; Thursday, Atlanta, GA, Apr 6, 1995.
21. Zierenberg O , Grundy S M. Intestinal absorption of polyenephosphatidylcholine in man. J Lipid Res 1982 Nov; 23(8): 1136-42.
22. Aбрaмчeнкo В.В. Aнтиoксидaнты и aнтигипoксaнты в aкyшeрствe (Oксидaтивный стрeсс в aкyшeрствe и eгo тeрaпия aнтиoксидaнтaми и aнтигипoксaнтaми). Ст-Петербург: Дeaн 2001; 400.
23. Phosphatidylcholine (Monograph) Alternative Medicine Review 2002; 7: 2: 150-154.
24. Barenholz Y., Yechiel E. Lipid replacement therapy USPat № 4812314, 1989.


Врач диетолог делает заказ в ресторане:
- Я хочу заказать жареного поросенка. Он не должен быть жирным, но при этом пусть будет немного сала, совсем узкая полосочка. Он не должен быть ни соленым, ни пресным, ни очень зажаренным, но с румяной корочкой, не слишком мягким, но и не жестким.
- Все ясно, доктор, - отвечает официант, - я только хотел бы уточнить группу крови поросенка.